My approach to optimizing health and lifespan includes daily nutrient tracking and yearly blood testing. Once you get your blood test results back from the doctor, are your values optimal if you’re within the reference range? This article will examine the “optimal range” for 1 of these measurements, serum bicarbonate.
What does serum bicarbonate measure? The amount of bicarbonate in the blood is indicative of dietary acid load (Adeva and Souto 2011), systemic metabolism, lung and kidney function. First, a diet rich in animal products and grains (acid-forming), and poor in fruits and vegetables (base-forming) can induce a state of metabolic acidosis (Sebastian et al. 2001). Similarly, cellular metabolism produces carbon dioxide (CO2), a gas that is an acid. The lungs and kidneys act to remove systemic increases in acid load: CO2 reacts with water to form bicarbonate (H2CO3-), where it travels to the lung for excretion by exhaling it as CO2. The kidneys decrease acid load (whether from the diet or metabolism) by removing protons (H+) from the blood, followed by urinating the acid out of the body, and also by producing bicarbonate. In sum, serum bicarbonate is a measure of acid load: from the diet, by your body’s ability to produce it, by your kidney’s ability to buffer it, and by your lungs ability to remove it.
Low serum bicarbonate is indicative of increased systemic acidity, whereas a high serum bicarbonate indicates systemic alkalinity. If systemic acidity is high, bicarbonate will be consumed to neutralize the acid, thereby decreasing serum bicarbonate. Assuming that bicarbonate is not being consumed in the diet (via fruits and vegetables), the kidney would have to then produce bicarbonate to make up for the increase in bicarbonate consumption.
The reference range for serum bicarbonate is 20-30 mEq/L. My average serum bicarbonate value (y-axis) in 18 blood tests from 2015-2019 is 26.7 mEq/L (red line below):

Also note that there is a weak trend (black line, R2=0.077) for my serum bicarbonate values to decrease over time.
Sure, these values are within the reference range, but what’s optimal?
In a study that included 31,590 subjects with average age of ~50 years, an average BMI <25 kg/m2, and a median follow up ~8 years, a serum bicarbonate value < 26 mEq/L, compared with 31 mEq/L, had a 46% significantly increased all-cause mortality risk (see below; Park et al. 2015).

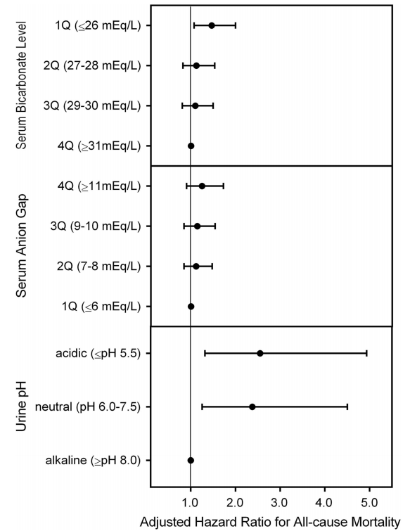
In contrast to these data, shown below are the findings of Raphael et al. 2013, who found no association between serum bicarbonate with mortality risk. In that study, 15,836 overweight (the BMI range average was from 26-29) subjects with an average age ~43 years were followed for ~9 years. Although an acidic serum bicarbonate value (<22, compared with 26-30 mEq/Las the reference) was associated with a 75% increased all-cause mortality risk, when excluding subjects with CKD from the analysis, that association was no longer statistically significant. However, it is important to note a similar trend (albeit non-significant) of association between acidic serum bicarbonate values with an increased mortality risk was present in those that did not have CKD.
Note that these 2 studies were performed in adults that were close to middle-age (43y, 50y). What does the data look like in older adults? In a study of 2,287 older adults (average age, 76y, Raphael et al. 2016), serum bicarbonate values less than 23 mEq/L were associated with significantly worse survival over a 10-year follow-up, when compared with values between 23-27.9 mEq/L. Also note that although survival looks worse for those that had bicarbonate values > 28 mEq/L, these data were not significantly different when compared with the 23-27 mEq/L group:

In addition, lower values for serum bicarbonate in older adults are associated with an increased risk for future physical function limitation (Yenchek et al. 2014). In a study of 1,544 overweight (BMI ~27 kg/m2) older adults (average age, ~75 years), subjects that had lower values for serum bicarbonate (< 25.9 mEq/L) had an increased risk for future functional limitation over a 4-year follow-up period, when compared with subjects with that had higher values (greater than 26 mEq/L). It is important to note that age-related decreased kidney function leads to an inability to produce bicarbonate, thereby decreasing serum bicarbonate. However, after adjusting for the presence or absence of subjects with chronic kidney disease (CKD), the association between a more acidic serum bicarbonate value with future functional limitation remained. In other words, poor kidney function was not driving the effect of acidosis on risk for future functional limitation.

Collectively, these data suggest that higher values for serum bicarbonate (> 26 mEq/L) may be optimal for health and longevity. When considering this, my average bicarbonate value of 26.7 mEq/L seems ok, for now. Note that in my data above, there is a weak trend toward lower values. I’m aware of it, and it continues to decrease over time, I’ll intervene!
If you’re interested, please have a look at my book!
References
Adeva MM, Souto G. Diet-induced metabolic acidosis. Clin Nutr. 2011 Aug;30(4):416-21.
Park M, Jung SJ, Yoon S, Yun JM, Yoon HJ. Association between the markers of metabolic acid load and higher all-cause and cardiovascular mortality in a general population with preserved renal function. Hypertens Res. 2015 Jun;38(6):433-8.
Raphael KL, Zhang Y, Wei G, Greene T, Cheung AK, Beddhu S. Serum bicarbonate and mortality in adults in NHANES III. Nephrol Dial Transplant. 2013 May;28(5):1207-13.
Raphael KL, Murphy RA, Shlipak MG, Satterfield S, Huston HK, Sebastian A, Sellmeyer DE, Patel KV, Newman AB, Sarnak MJ, Ix JH, Fried LF; Health ABC Study Bicarbonate Concentration, Acid-Base Status, and Mortality in the Health, Aging, and Body Composition Study. Clin J Am Soc Nephrol. 2016 Feb 5;11(2):308-16.
Sebastian A, Frassetto LA, Sellmeyer DE, Merriam RL, Morris RC Jr. Estimation of the net acid load of the diet of ancestral preagricultural Homo sapiens and their hominid ancestors. Am J Clin Nutr. 2002 Dec;76(6):1308-16.
Yenchek R, Ix JH, Rifkin DE, Shlipak MG, Sarnak MJ, Garcia M, Patel KV, Satterfield S, Harris TB, Newman AB, Fried LF; Health, Aging, and Body Composition Study. Association of serum bicarbonate with incident functional limitation in older adults. Clin J Am Soc Nephrol. 2014 Dec 5;9(12):2111-6.
























